Упражнение 346 ГДЗ Колягин Ткачёва 7 класс (Алгебра)
Возвести в степень произведение: 1) (ax)^7; 2) (6y)^6; 3) (2,5cd)^2; 4) (3nm)^3. Вычислить: 1) 139•15+18•39+15•261+18•261; 2) 125•48-31•82-31•43+125•83; 3) 14,7•13-2•14,7+13•5,3-2•5,3; 4) 3 1/3•4 1/5+4,2•2/3+3 1/3•2 4/5+2,8•2/3.


Ниже вариант решения задания из учебника Колягин, Ткачёва, Фёдорова 7 класс, Просвещение:
Возвести в степень произведение:
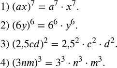
1) (ax)^7;
2) (6y)^6;
3) (2,5cd)^2;
4) (3nm)^3.
Вычислить:
1) 139•15+18•39+15•261+18•261;
2) 125•48-31•82-31•43+125•83;
3) 14,7•13-2•14,7+13•5,3-2•5,3;
4) 3 1/3•4 1/5+4,2•2/3+3 1/3•2 4/5+2,8•2/3.
