Упражнение 347 ГДЗ Колягин Ткачёва 7 класс (Алгебра)
Возвести в степень произведение: 1) (xy^3 )^2; 2) (a^2 b)^3; 3) (2b^4 )^5; 4) (0,1c^3 )^2. Решить уравнение: 1) (x^2-4x)+x-4=0; 2) (x^2+7x)-4x-28=0;


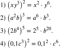
Ниже вариант решения задания из учебника Колягин, Ткачёва, Фёдорова 7 класс, Просвещение:
Возвести в степень произведение:
1) (xy^3 )^2;
2) (a^2 b)^3;
3) (2b^4 )^5;
4) (0,1c^3 )^2.
Решить уравнение:
1) (x^2-4x)+x-4=0;
2) (x^2+7x)-4x-28=0;
3) 5x^2-10x+(x-2)=0;
4) 3x^2+12x-(x+4)=0.
