Упражнение 348 ГДЗ Колягин Ткачёва 7 класс (Алгебра)
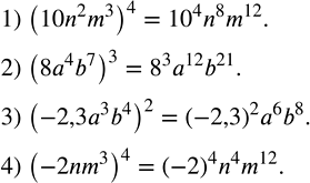
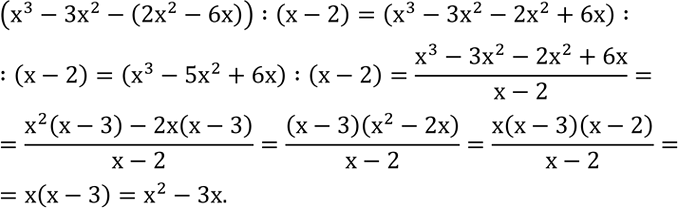
Возвести в степень произведение: 1) (10n^2 m^3 )^4; 2) (8a^4 b^7 )^3; 3) (-2,3a^3 b^4 )^2; 4) (-2nm^3 )^4. Разделить разность многочленов x^3-3x^2 и 2x^2-6x на x-2.


Ниже вариант решения задания из учебника Колягин, Ткачёва, Фёдорова 7 класс, Просвещение:
Возвести в степень произведение:
1) (10n^2 m^3 )^4;
2) (8a^4 b^7 )^3;
3) (-2,3a^3 b^4 )^2;
4) (-2nm^3 )^4.
Разделить разность многочленов x^3-3x^2 и 2x^2-6x на x-2.
