Упражнение 349 ГДЗ Колягин Ткачёва 7 класс (Алгебра)
(Устно.) Во сколько раз увеличится площадь квадрата, если длину каждой стороны увеличить в 2 раза; 3 раза; 10 раз? Разложить многочлен на множители:


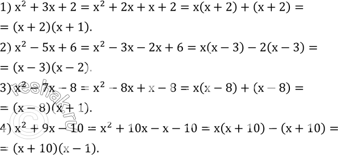
Ниже вариант решения задания из учебника Колягин, Ткачёва, Фёдорова 7 класс, Просвещение:
(Устно.) Во сколько раз увеличится площадь квадрата, если длину каждой стороны увеличить в 2 раза; 3 раза; 10 раз?
Разложить многочлен на множители:
1) x^2+3x+2;
2) x^2-5x+6;
3) x^2-7x-8;
4) x^2+9x-10.
