Упражнение 385 ГДЗ Колягин Ткачёва 7 класс (Алгебра)
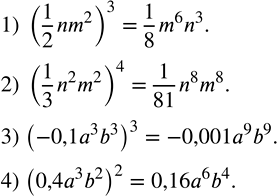
Возвести одночлен в степень: 1) (1/2 nm^2 )^3; 2) (1/3 n^2 m^2 )^4; 3) (-0,1a^3 b^3 )^3; 4) (0,4a^3 b^2 )^2.


Ниже вариант решения задания из учебника Колягин, Ткачёва, Фёдорова 7 класс, Просвещение:
Возвести одночлен в степень:
1) (1/2 nm^2 )^3;
2) (1/3 n^2 m^2 )^4;
3) (-0,1a^3 b^3 )^3;
4) (0,4a^3 b^2 )^2.
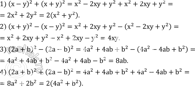
Упростить выражение:
1) (x-y)^2+(x+y)^2;
2) (x+y)^2-(x-y)^2;
3) (2a+b)^2-(2a-b)^2;
4) (2a+b)^2+(2a-b)^2.
