Упражнение 386 ГДЗ Колягин Ткачёва 7 класс (Алгебра)
Выполнить действия: 1) (-2a)^2 (-3a); 2) (-a)^3 (2a); 3) (-0,2bc^2 )^2 (20cx^2 ); 4) (-0,1ab^2 c)^2 (100by^2 ). Доказать, что: 1) (a-b)^2=(b-a)^2;


Ниже вариант решения задания из учебника Колягин, Ткачёва, Фёдорова 7 класс, Просвещение:
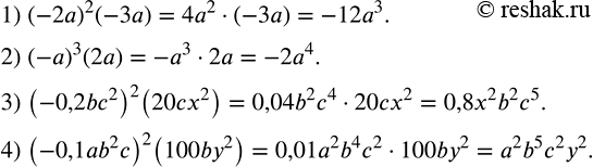
Выполнить действия:
1) (-2a)^2 (-3a);
2) (-a)^3 (2a);
3) (-0,2bc^2 )^2 (20cx^2 );
4) (-0,1ab^2 c)^2 (100by^2 ).
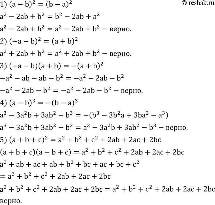
Доказать, что:
1) (a-b)^2=(b-a)^2;
2) (-a-b)^2=(a+b)^2;
3) (-a-b)(a+b)=-(a+b)^2;
4) (a-b)^3=-(b-a)^3;
5) (a+b+c)^2=a^2+b^2+c^2+2ab+2ac+2bc.
