Упражнение 387 ГДЗ Колягин Ткачёва 7 класс (Алгебра)
Выполнить действия: 1) (-1 3/5 x^3 y^2 ) (-1/2 c^2 x^2 )^3; 2) (2 1/4 x^3 y) (2/3 xy^2 )^2; 3) (-3bc^2 )^3 (2ab^2 )^2;


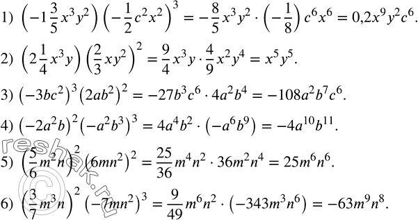
Ниже вариант решения задания из учебника Колягин, Ткачёва, Фёдорова 7 класс, Просвещение:
Выполнить действия:
1) (-1 3/5 x^3 y^2 ) (-1/2 c^2 x^2 )^3;
2) (2 1/4 x^3 y) (2/3 xy^2 )^2;
3) (-3bc^2 )^3 (2ab^2 )^2;
4) (-2a^2 b)^2 (-a^2 b^3 )^3;
5) (5/6 m^2 n)^2 (6mn^2 )^2;
6) (3/7 m^3 n)^2 (-7mn^2 )^3.
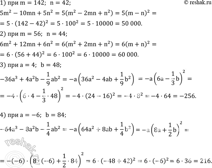
Найти значение выражения:
1) 5m^2-10mn+5n^2 при m=142; n=42;
2) 6m^2+12mn+6n^2 при m=56; n=44;
3) -36a^3+4a^2 b-1/9 ab^2 при a=4; b=48;
4) -64a^3-8a^2 b-1/4 ab^2 при a=-6; b=84.
