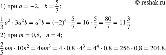
Упражнение 388 ГДЗ Колягин Ткачёва 7 класс (Алгебра)
Выполнить умножение одночленов и найти значение полученного выражения: 1) 1/3 a^2•3a^2 b при a=-2, b=5/7; 2) 2/5 mn•10n^2 при m=0,8, n=4.


Ниже вариант решения задания из учебника Колягин, Ткачёва, Фёдорова 7 класс, Просвещение:
Выполнить умножение одночленов и найти значение полученного выражения:
1) 1/3 a^2•3a^2 b при a=-2, b=5/7;
2) 2/5 mn•10n^2 при m=0,8, n=4.
Вычислить:
1) ?101?^2-202•81+?81?^2;
2) ?37?^2+126•37+?63?^2;
3) (?48?^2+2•48•18+?18?^2)/(?48?^2-?18?^2 );
4) (?85?^2-?17?^2)/(?85?^2+2•85•17+?17?^2 ).
