Упражнение 389 ГДЗ Колягин Ткачёва 7 класс (Алгебра)
Найти площадь прямоугольника со сторонами: 1) 1/5 a и 10b; 2) 3/7 x и 14y. Используя формулы куба суммы или куба разности двух чисел, выполнить действие:


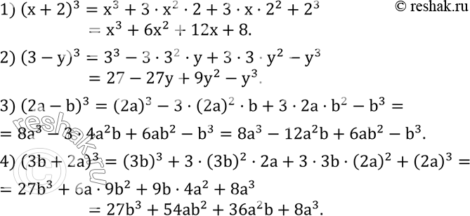
Ниже вариант решения задания из учебника Колягин, Ткачёва, Фёдорова 7 класс, Просвещение:
Найти площадь прямоугольника со сторонами:
1) 1/5 a и 10b;
2) 3/7 x и 14y.
Используя формулы куба суммы или куба разности двух чисел, выполнить действие:
1) (x+2)^3;
2) (3-y)^3;
3) (2a-b)^3;
4) (3b+2a)^3.
