Упражнение 453 ГДЗ Колягин Ткачёва 7 класс (Алгебра)
Выполнить деление: 1) (12a+6) :3; 2) (10b-5) :5; 3) (14m-8) :(-2); 4) (-6+3x) :(-3). Привести дроби к общему знаменателю: 1) 1/(2p^2 ),1/6pk и 1/(3k^2 );


Ниже вариант решения задания из учебника Колягин, Ткачёва, Фёдорова 7 класс, Просвещение:
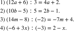
Выполнить деление:
1) (12a+6) :3;
2) (10b-5) :5;
3) (14m-8) :(-2);
4) (-6+3x) :(-3).
Привести дроби к общему знаменателю:
1) 1/(2p^2 ),1/6pk и 1/(3k^2 );
2) 1/(6b^2 ),(a^2+b^2)/(9a^2 b^2 ) и (3-a)/(18ab^2 );
3) 2a/b^2 ,4/(15a^2 b) и 3/(20a^3 b^4 );
4) 7/(20x^4 y),31/(6xy^3 ) и 4/(3x^2 y^4 ).
